Figuur 4. Tijdafhankelijkheid van de matrixrooster constante, verkregen uit de in situ XRD metingen op 700 ◦ C. We zagen een monotone daling van de lattice parameter, wat erop wijst dat zware elementen zoals Nb en Mo geleidelijk diffuseren van de vaste stof-matrix van de oplossing en bijdragen tot de vorming en groei van de schijf 948; De in dit cijfer vermelde onzekerheid en hierna een standaarddavidatie, tenzij anders bepaald.
Daarnaast is de verandering in de matrix raster parameter van een vaste stof-legering van de oplossing wordt geassocieerd met de omvang van de neerslag [40]. In AM IN625, het verschil in de matrixrasterparameters voor en na een 10-h warmtebehandeling op 870 ◦ C was ≈ 0.0042 1970;21. In vergelijking, de raster parameter gewijzigd door ≈ 0.0015 1970;na een 10.5 h warmtebehandeling op 700 ◦ C, wat wijst op een aanzienlijk geringere neerslag van de neerslag van deze temperament;Zeker.
IN625, zoals ontworpen, is een single-Weir van fase-legeringe de sterkte is voornamelijk afkomstig van de vaste oplossing die wordt versterkt door Mo, Nb en Cr [1]. Weire aangezien de uitputting van Mo en Nb van de matrix naar verwachting de sterkte zal verminderen, kan de vorming van neerslagen deze vermindering compenseren en de totale sterkte van IN625 verhogen. Bijvoorbeeld, ruw IN625 bereikt zijn maximale hardheid na een 170 h warmtebehandeling op 700 ◦ C, welke isvoornamelijk te wijten aan de neerslag van de beschermhuls;8221; fase, een voorloper van de beschermhuls;fase [41]. Evenzo verhoogt de neerslag van de afscherming; de fase ook de totale sterkte en vermindert de productiviteit [37]. Voor AM IN625 is een systematische evaluatie nodig van het effect van warmtebehandeling op mechanische eigenschappen over een reeks temperaturen.Nee.
Tijdens de warmtebehandeling verandert ook de eenheidscel van de verdeelsleutel. Figuur 5 illustreert deze verandering. Tussen de drie orthorhombische rasterparameters (Figuur 5a default 8211c), zijn er twee bijna constant op ≈ 5.108 707 en ≈ 4.232 197. De derde parameter toont een monotone toename van ≈ 4.482 tot en met ≈ 4.488 197; Het is bekend dat de lange as van de pijler 948; fase overeenkomt met de afsluiter-de verpakte aanwijzingen van de FCC-matrix en de kristallografische orientaties tussen de FCC-matrix en de object948;fase volgen {111}FCC//(100)948;en FCC//[100]948;10]. Op basis hiervan concluderen we dat de verspreiding van Nb en Mo ook gericht is. Aangezien de diffusie van de matrix tot de 948;fase langzamer optreedt dan die van Nb [42], kan deze diffusie leiden tot een verandering in de chemie van de vlakken 948;fase en een toename van het volume van de cellen, zoals weergegeven in Figuur 5d.
Figuur 5. (a 8211c) Tijdafhankelijkheid van de drie rasterparameters van de pijler 948; faseneerslagen, verkregen uit de metingen in situ XRD op 700 ◦ C. (d) Het volume van de eenheidscel van de afscherming van de 948;Nee.
In situ SAXS-gegevens die tijdens de isothermische warmtebehandeling met hetzelfde monstervolume zijn verkregen, bieden ook een venster om de statistisch significante transformatiekinetiek van de microstructuur van het materiaal ’s te onderzoeken. Figuur 6 toont de volledige gegevensverzameling, met USAXS-gegevens als het hoofdplot en de SAXS-gegevens in de inset. Voor consistentie, zijn de verspreide gegevens kleur-gecodeerd met dezelfde kleurschaal als de XRD-gegevens in Figuur 3. De verspreide gegevens hebben drie opvallende kenmerken. Ten eerste, voor de zeer lage-q deel van de verspreide gegevens ≈ 1 215; 10 − 4 zee197; − 1 tot ≈ 4 215; 10 − 4 zee197; − 1), we observeerden een kracht-Wettelijke helling die niet verandert als functie van de tijd. We schrijven deze eigenschap toe aan het graan Scattering, die vergelijkbaar is met eerdere werkzaamheden op Ni-based superlegeringen [21,43] en aluminium legeringen [44,45]. De graangroei in IN625 is minimaal voor temperaturen onder 900 ◦ C [46]. Daarom wordt verwacht dat de graanverstrooiing stabiel is, wat in overeenstemming is met experimentele waarnemingen. Ten tweede zagen we een monotone toename van de verstrooiintensiteit tussen ≈ 4 215; 10 − 4 zee197; − 1 en ≈ 0.01 1970; − 1, met name met twee Guineer regio's in de buurt 2 215; 10 − 3. zeven. − 1 en 8 215; 10 − 3. zeven. − 1, respectievelijk. Aangezien de in situ XRD data en ex situ SEM beelden alleen de neerslag van de fase tonen, geven we dit verspreidingsignaal toe aan de fase van de afscherming. Eerdere microscopische studies hebben aangetoond dat de neerslag van de fase bloedplaatjes zijn met twee kenmerkende grootten [10,21,47], hetgeen in overeenstemming is met de waarneming van twee Guinier-regio's in de verspreidende gegevens. Tot slot zijn de SAXS-gegevens die in de inset worden weergegeven, eenvoudige uitbreidingen van het hoge q-vermogen.-helling van de wet in de USAXS-gegevens; d.w.z. de SAXS-gegevens bevatten geen aanvullende informatie, hetgeen erop wijst dat er geen extra nm-tijdens deze warmtebehandeling ontstaan grote neerslagen.
Figuur zes. In situ SAXS gegevens van AM IN625 verkregen tijdens isothermische warmtebehandeling op 700 ◦ C voor 10.5 h. Het hoofdplot en de inset tonen respectievelijk de USAXS- en SAXS-gegevens. De overnametijd is kleur-gecodeerd na de tijdspijl. De USAXS-intensiteit wordt doorgesneden-uitgesmeerdNee.
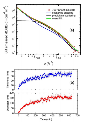
We hebben een verstrooiend model gebouwd om de op deze waarnemingen gebaseerde gegevens te beschrijven, zoals geïllustreerd in Figuur 7a. Met behulp van de USAXS-gegevens verkregen bij 630 min in het in situ experiment als voorbeeld, bestaat dit model uit twee componenten. De eerste component is de verdeelbaseline, die wordt verkregen op hetzelfde monstervolume bij kamertemperatuur vóór de warmtebehandeling. De tweede component vertegenwoordigt de overtollige versplintering van de afscherming van de pijler; faseneerslagen. Zoals eerder is vastgesteld [21], hebben we deze overdaad van verstrooiing beschreven met behulp van een analyse-benadering die analoog is aan de uniforme methode voor de versplintering van de kleine hoek met twee spreidniveaus [48]. Samen, deze twee-component model beschrijft de in situ SAXS gegevens goed door de hele gegevenssequentieNee.
Figuur 7. a) Een illustratie van het bij dit werk gebruikte SAXS-model. De gegevens werden verkregen bij 630 min tijdens de warmtebehandeling op 700 ◦ C. De bewolkte verstrooiing bestaat uit twee delen: 1) versplintering van de uitgangssituatie en 2) overtollige versplintering van de afscherming van de pijler 948;faseneerslagen. b) De tijd-de ontwikkeling van de gemiddelde diameter (grote dimensie) en de dikte (geringe dimensie) van de afscherming;Nee.

Functietitel: Product manager
afdeling: Market Department
Bedrijfstelefoon: +86 021-59150215
E-mail: Neem contact met ons op
Mobiele telefoon: +86 13817160919
Website: lanzhusuperalloy.invipb2b.com
Adres: No. 2800 Caoxin Road, Xuhang Town, Jiading District, Shanghai