calculed en meetfasesamenstellingen: de samenstellingen van de C-en C-fase (&cc en cc&) in de vier onderzochte legeringen werden gemeten met 3D-apt (ERBO 1) [36] en met TEM-EDX (ERBO 15 en Derivaten) [32]. De experimentele resultaten voor de twee fasen worden gepresenteerd in tabellen 7 (C-fase) en 8 (C-&-fase). Tafels 7 en 8 bevatten ook thermocalc-voorspellingen die zijn verkregen voor temperaturen bij 1143 K (temperatuur van de tweede precipitatiebehandelingsstap voor alle legeringen), bij 1413 K en 1583 K (ERBO/1; Temperatuur van respectievelijk eerste precipitatiestap en homogenisatie) en bij 1313 K en 1583 K (ERBO/15 varianten, temperatuur eersteneerslag behandelingstrap en homogenisering, respectievelijk). Aangezien de C-Phase een kleinere volumefractie vertoont dan de C-phase, worden wijzigingen in de chemische samenstelling&meer uitgesproken. In Fig. 10 en 11, wij presentemische composities voor de C-phase van Tabel 7 als cirkeldiagrammen. Figuur 10 toont experimentele gegevens, die in alle vier de hitte-treated legeringen werden gemeten voorafgaand aan kruip. Thermocalc-voorspellingen die worden verkregen voor de C-PHA's van ERBO/1 (1143, 1413 en 1583 k) en voor ERBO/15 (1143, 1313 en 1583 k) worden gepresenteerd in FIG. 11.
- gegevens in Tabel 7 en Fig. 10 en 11 (C-phase) en in Tabel 8 (C-Phase, gegevens die&zonder grafische afbeeldingen worden gepresenteerd) laten zien dat toenemende temperaturen resulteren in toenemende hoeveelheden TI-, AL- en TA en tegelijkertijd de bedragen van CR, CO, W en RE tegelijkertijd afnemen voor ERBO/1 in c-phase. Zoals blijkt uit de ThermoCalc resultaten in fig. 11, wordt de hoeveelheid van het basiselement Ni toeneemt met toenemende temperatuur ERBO/1. Daarentegenneemt het af met toenemende temperatuur in ERBO/15.De thermodynamische gegevens voor de Cen de C-sphases in-tabel 7 (en Fig. 10 en 11) en tafel 8 respectievelijk tonen verder dat de ThermoCalc gegevens van 1143 K (temperatuur van de laatste precipitatiebehandeling experimentele legeringen) en experimenteel bepaalde gegevensniet volledig eens maar redelijk dicht bij elkaar beide legeringsystemen. Alleen bij ERBO&15, het element Mo toont een significant lagere waarde in de berekening bij 1143 K (1,0 at.%) Dan in het experiment (4.4at.%)./
Discussion elastische stijfheden. Zoals te zien is in figuur 6a-c zijn alle elastische stijfheid afnemen met toenemende temperatuur. Dit is voornamelijk een gevolg van de anharmoniciteit van het roosterpotentieel. Met toenemende temperatuur toenemende thermische trillingen leiden tot grotere bindingsafstanden, die leiden tot een afname van binding interacties en dus een verlaging van elastische stijfheden. De elastische gedrag van ERBO1 en ERBO/15 bijna identiek, Wher/&101, als resultaat van de slankere ERBO#15 varianten voor c11 en c12 iets te kort. Dit beïnvloedt de elastische moduli e \\ 100niet significant [, die allemaal heel dichtbij zijn (Fig. 6D). Zoals blijkt uit Tabel 9, afzonderlijke legeringselementen SX in grootte, kristalstructuur, Young's modulus, elektronegativiteit en smeltpunt [48-51]. Figuur 6D laat zien dat de wijzigingen in de legeringscheikunde die in het huidige werk worden beschouwd,niet sterk van invloed zijn op elastische eigenschappen. Dit is in overeenstemming met de conclusies getrokken door Dembro¨der et al. [41], die toonde aan dat zelfs grotere variaties van legeringssamenstellingen dan in het huidige werk overwogen, beïnvloeden de elastische eigenschappen van SXniet sterk. Het elastische gedrag van een enkel kristal weerspiegelt rechtstreeks de anisotropie van zijn verlijmingssysteem. Dit laatste wordt voornamelijk geregeld door type, aantal en ruimtelijke opstelling van de dichtstbijzijnde/neighbor-contacten in de kristalstructuur. Aangezien de structuur van Ni-kantel SX (met c-c '/microstructuren) en hun belangrijkste chemische samenstelling ([62 bij.-% Ni, [11 aan.-% Al) verschilt slechts licht interacties worden gedomineerd door NI-NI en NI-AL-contacten, wat leidt tot slechts kleine variaties van de macroscopische elastische stijfheden [42].-
-&--
-
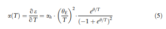
Thermal expansie en c
Neisen-relatie is Aðtþ evenredig met de warmtecapaciteit; Aldus kan de thermische stam Eðtþ

Functietitel: Product manager
afdeling: Market Department
Bedrijfstelefoon: +86 021-59150215
E-mail: Neem contact met ons op
Mobiele telefoon: +86 13817160919
Website: lanzhusuperalloy.invipb2b.com
Adres: No. 2800 Caoxin Road, Xuhang Town, Jiading District, Shanghai